Resources
Contact
Pricing
🇺🇸
EN
Log in
Open Editor
Revision History
Export Image
Export Code
Share
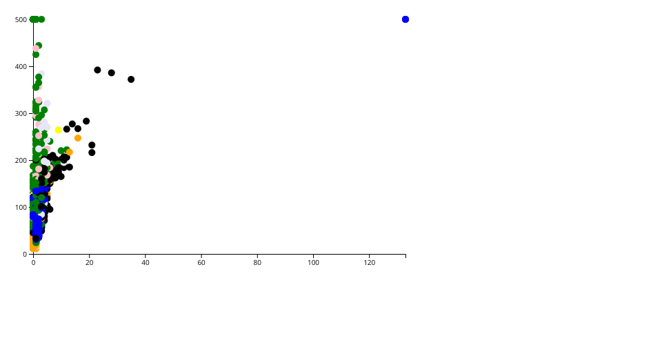
AQI VS CO
2
Forks
0
Likes
shravan071000
0 views in last 90 days
Last edited Apr 24, 2024
Created on Apr 24, 2024
Forked from
Hello VizHub
uses
v1 runtime
An example showing the capabilities of VizHub:
Loads D3 via UNPKG.
Demonstrates use of
import
from
"d3"
.
Demonstrates use of
import
from local ES6 modules.
MIT Licensed